查看: 92|回复: 0

[盐都快讯] 自贡市消防救援机构2022年7月“双随机、一公开”监督检查结果公示

[复制链接]

901

主题

0

回帖

510

积分

高级会员

积分
510
发表于 2025-12-8 07:41:21 | 显示全部楼层 |阅读模式
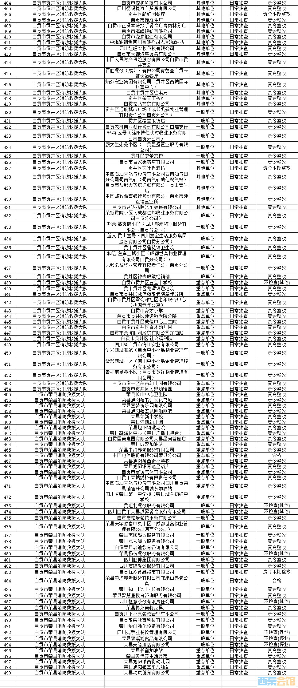
“双随机,一公开”检查结果公示


为深化消防执法改革,落实”双随机、一公开“监管工作要求,自贡市消防救援支队现将2022年7月“双随机、一公开”监督检查结果公示如下:
d1.png


d2.jpg

d3.png


“双随机,一公开”抽查结果查询网址:
http://sc.ssj.119.gov.cn/#/check/result
免责声明:本文由网友发表或转载,不代表自贡论坛观点和立场,不对其真实合法性负责.如有异议或侵权,请与本网站联系删除!
回复

使用道具 举报

您需要登录后才可以回帖 登录 | 立即注册

本版积分规则

全站链接: 工程造价

QQ|手机版|小黑屋|自贡论坛 ( 蜀ICP备12031032号-2 )|网站地图川公网安备 51030002000002号

GMT+8, 2026-4-25 20:40 , Processed in 0.076439 second(s), 11 queries , Redis On.

Powered by Discuz! X3.5

© 2016-2021 Comsenz Inc.

快速回复 返回顶部 返回列表